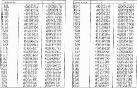
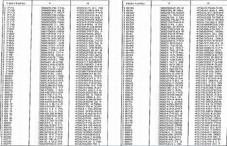
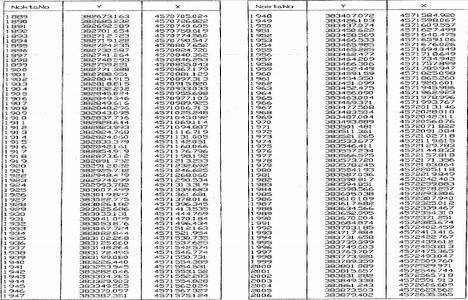
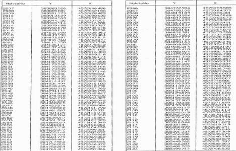
Kanal İstanbul resmi güzergah koordinatları!
Kanal İstanbul nerede? Kanal İstanbul güzergahı belli oldu mu? Kanal İstanbul güzergahı koordinatları neler? Kanal İstanbul nerede başlayıp nerede bitecek? Kanal İstanbul projesinin koordinatları neler? İşte Kanal İstanbul resmi güzergah koordinatları...
Kanal İstanbul resmi güzergah koordinatları!
Kanal İstanbul projesi koordinatlarının ilk bölümü için tıklayın!
Kanal İstanbul güzergahı Resmi Gazete’de yayımlanan "İstanbul İli Avrupa Yakası Proje Alanı" haritası ile belli oldu. İşte Kanal İstanbul projesinin koordinatları...









