Konut Finansmanı Sisteminde Erken Ödeme İndirimi!
Konut Finansmanı Sisteminde Erken Ödeme İndirimi ve Yıllık Maliyet Oranı Hesaplama Usul ve Esasları Hakkında Yönetmelik, 31 Mayıs 2007 Perşembe günü 26538 sayılı Resmi Gazete'de yayımlandı...
YÖNETMELİK
Sanayi ve Ticaret Bakanlığından:
KONUT FİNANSMANI SİSTEMİNDE ERKEN ÖDEME İNDİRİMİ VE YILLIK MALİYET ORANI HESAPLAMA USUL VE ESASLARI HAKKINDA YÖNETMELİK
BİRİNCİ BÖLÜM
Amaç, Kapsam, Dayanak ve Tanımlar
Amaç
MADDE 1 – (1) Bu Yönetmeliğin amacı, konut finansmanında tüketicinin konut finansmanı kuruluşuna borçlandığı toplam miktarı veya vadesi gelmemiş bir ya da birden çok taksidi erken ödemesi halinde, kredi veren tarafından yapılacak faiz ve komisyon indirimi ile kredinin tüketiciye yıllık maliyetinin oransal hesaplanmasına ilişkin usul ve esasları düzenlenmektedir.
Kapsam
MADDE 2 – (1) Bu Yönetmelik, konut edinmeleri amacıyla tüketicilere kredi kullandırılması, konutların finansal kiralama yoluyla tüketicilere kiralanması, sahip oldukları konutların teminatı altında tüketicilere kredi kullandırılması ve bu kapsamdaki kredilerin yeniden finansmanı amacıyla kredi kullandırılması için düzenlenen sözleşmelere uygulanır.
Dayanak
MADDE 3 – (1) Bu Yönetmelik, 23/2/1995 tarihli ve 4077 sayılı Tüketicinin Korunması Hakkında Kanunun 10/B maddesi ile 31 inci maddesine dayanılarak hazırlanmıştır.
Tanımlar
MADDE 4 – (1) Bu Yönetmelikte yer alan;
a) Akdi faiz oranı: Sabit faizi içeren konut finansmanı sözleşmelerinde yer alan faiz oranını,
b) Asgari ödeme tutarı: Taksit tutarlarının farklı olması halinde en düşük olan taksit tutarını, taksit tutarlarının eşit olması halinde en az bir taksit tutarını,
c) Bakan: Sanayi ve Ticaret Bakanını,
ç) Bakanlık: Sanayi ve Ticaret Bakanlığını,
d) Cari faiz oranı: Değişken faizi içeren konut finansmanı sözleşmelerinde erken ödeme tarihindeki faiz oranını,
e) Erken ödeme: Tüketicinin konut finansmanı kuruluşuna borçlandığı toplam tutarı veya vadesi gelmemiş bir veya birden çok taksidin vadesinden önce ödemesini,
f) Komisyon: Geri ödeme planında her bir taksit tutarında anapara, faiz ve her türlü kamusal yükümlülükler haricinde ayrı bir kalem olarak yer alan ve konut finansmanı kuruluşunun gelir olarak tahsil edeceği tutarları,
g) Konut finansmanı: Konut edinmeleri amacıyla tüketicilere kredi kullandırılması, konutların finansal kiralama yoluyla tüketicilere kiralanması, sahip oldukları konutların teminatı altında tüketicilere kredi kullandırılmasını,
ğ) Konut finansmanı kuruluşu: Konut finansmanı amacıyla doğrudan tüketiciye kredi kullandıran ya da finansal kiralama yapan bankalar ile Bankacılık Düzenleme ve Denetleme Kurumu tarafından konut finansmanı faaliyetinde bulunması uygun görülen finansal kiralama şirketleri ve finansman şirketlerini,
h) Konut finansmanı sözleşmesi: Konut edinmeleri amacıyla tüketicilere kredi kullandırılması, konutların finansal kiralama yoluyla tüketicilere kiralanması, sahip oldukları konutların teminatı altında tüketicilere kredi kullandırılması ve bu kapsamdaki kredilerin yeniden finansmanı amacıyla kullandırılan krediler hazırlanan sözleşmeyi,
ı) Ödeme planı: Tüketiciye tahsis edilen konut finansmanı geri ödenmesinde esas alınacak taksit, tutar ve vadeleriyle birlikte anapara, faiz, fon, vergi ve diğer masrafların ayrı ayrı belirtildiği tabloyu,
i) Taksit: Ödeme planında konut finansmanının geri ödenmesi için belirlenen tarihlerin hizasında gösterilen anapara, faiz, kamusal yükümlülükler ve komisyon toplamından oluşan ödeme tutarını,
j) Taksit vadesi: Ödeme planında belirtilmiş olan taksitlerin ödeneceği tarihi,
k) Tüketici: Bir mal veya hizmeti ticari veya mesleki olmayan amaçlarla edinen, kullanan veya yararlanan gerçek ya da tüzel kişi ile konut yapı kooperatiflerinin gerçek kişi ortaklarını,
l) Yıllık maliyet oranı: Konut finansmanı kuruluşu ve tüketici tarafından kabul edilmiş olan faiz, ücret, masraf ve kamusal yükümlülükler dahil tüm taahhütlerin bu günkü değerlerinin yıllık olarak toplamına eşit olan oranı
ifade eder.
İKİNCİ BÖLÜM
Erken Ödeme ve Yıllık Maliyet Oranı
Erken Ödeme
MADDE 5 – (1) Tüketici, konut finansmanı kuruluşuna borçlandığı toplam miktarı önceden ödeyebileceği gibi aynı zamanda vadesi gelmemiş bir ya da birden çok taksit ödemesinde de bulunabilir. Her iki durumda da konut finansmanı kuruluşu, vadesinden önce ödenen taksitler için gerekli faiz indirimini yapmakla yükümlüdür. Bu halde konut finansmanı kuruluşu tüketiciden değişken ve sabit ve değişken faizin bir arada bulunduğu konut finansmanı sözleşmelerinde her hangi bir isim altında ek bir ödemede bulunmasını isteyemez.
(2) Sabit faizli konut finansmanı sözleşmelerinde ise, sözleşmede yer verilmek suretiyle, bir ya da birden fazla ödemenin vadesinden önce yapılması durumunda erken ödeme ücreti talep edilebilir. Erken ödeme ücreti, gerekli faiz indirimi yapılarak hesaplanan ve tüketici tarafından konut finansmanı kuruluşuna erken ödenen tutarın yüzde ikisini geçemez.
Bir veya birden fazla taksidin vadesinden önce ödenmesi
MADDE 6 – (1) Vadeden önce ödenecek bir veya birden fazla taksit söz konusu olduğunda, erken ödenen taksit tutarı içinde yer alan anapara tutarı üzerinden sabit faizli konut finansmanı sözleşmelerinde akdi faiz oranı ile, değişken faizli konut finansmanı sözleşmelerinde cari faiz oranı ile, sabit ve değişken faizin birlikte uygulandığı konut finansmanı sözleşmelerinde ise erken ödemenin yapıldığı tarihte geçerli olan faiz oranı ile erken ödenen gün sayısı dikkate alınarak bulunacak faiz, faiz üzerinden hesaplanacak kamusal yükümlülükler toplamı ve komisyon tutarı kadar indirim yapılır. Bu halde faiz indirimi Ek 1’ de verilen formül doğrultusunda yapılır.
Kredinin tamamının erken ödenmesi
MADDE 7 – (1) Erken ödeme, taksit tarihinde yapılıyorsa; vadesi gelen taksit ödemesi, geriye kalan taksit tutarları içerisindeki anapara borcu ve varsa o tarihe kadar tahsil edilmemiş faiz ve kamusal yükümlülükler tahsil edilir.
(2) Erken ödeme, iki taksit tarihi arasında yapılıyorsa; ödeme planında yer alan en son ödenmiş taksit tarihiyle, erken kapatma işleminin gerçekleştiği tarih arasında, anaparaya işleyen faiz tutarı, en son ödenmiş taksit tarihi itibariyle geriye kalan taksit tutarları içerisindeki anapara borcu ve varsa o tarihe kadar tahsil edilmemiş faiz ve kamusal yükümlülükler tahsil edilir.
Yıllık maliyet oranı
MADDE 8 – (1) Konut finansmanı sözleşmesinin tüketiciye yıllık maliyet oranı, Ek 2’ de verilen formül doğrultusunda, kredinin veya finansal kiralamanın tüketiciye verildiği tarihte, aşağıdaki bedeller hariç tutularak hesaplanır ve sözleşmede gösterilir.
a) Gecikme faizi oranı,
b) Konut finansmanı kuruluşu, konut finansmanını, belirli bir konutun veya belirli bir satıcı ile yapılacak satış sözleşmesi şartı ile vermesi durumunda bu konutun satış fiyatı dışında kalan ve tüketicinin ödemekle yükümlü olduğu her türlü bedel,
c) Tüketicinin makul bir seçim özgürlüğünün bulunmadığı durumlar ile ödenmesi gereken bedellerin normalin çok üstünde olduğu durumlar hariç, fon transferine ilişkin bedeller ile kredi ve kira geri ödemeleri, faiz ödemeleri ve diğer masraf ve harçların tahsili amacıyla açılmış bir hesabın muhafaza edilmesine ilişkin bedeller. Ancak, söz konusu ödeme ya da geri ödemelerin tahsili için yapılan masraflar yıllık maliyet oranı hesabına dahil edilecektir,
ç) Konut finansmanı şartları üzerinde belli bir etkisi olsa dahi konut finansmanı sözleşmesinden ayrı sözleşmelerden doğan üyelik aidatları,
d) Tüketicinin ölümü, maluliyeti, hastalanması ya da işsiz kalması halinde;
1 - Yasal faiz ve alacaklı tarafından konut finansmanının verilmesi için şart koşulmuş diğer masraflar,
2 - Toplam konut finansmanı miktarına eşit ya da bu miktardan az bir meblağın konut finansmanı kuruluşuna ödenmesini sağlamak amacıyla tasarlanmış bedeller
dışında kalan sigorta ya da teminat masrafları.
ÜÇÜNCÜ BÖLÜM
Son Hükümler
Yürürlük
MADDE 9 – (1) Bu Yönetmelik yayımı tarihinde yürürlüğe girer.
Yürütme
MADDE 10 – (1) Bu Yönetmelik hükümlerini Sanayi ve Ticaret Bakanı yürütür.
Ek –1
Erken Ödeme Halinde İndirim Tutarının Hesaplanması
İndirim Tutarı=İlgili taksit tutarı içindeki anapara x erken ödenen gün sayısı x yıllık akdi faiz oranı/36000
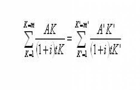
Ek -2
Ödemeler ve Masraflar ile Konut Finansmanı Miktarı Arasındaki Denkliği Gösteren Denklem

Formülde kullanılan harf ve sembollerin anlamları:

Bu hesaplama yapılırken:
1 - Başlangıç tarihi ilk taksidin vade tarihidir.
2 - Hesaplamalarda kullanılan tarihler arasındaki süreler, yıl ya da yılın kesirleri olarak ifade edilir. Bir yılda 365 gün veya 365,25 gün artık yıllarda 366 gün, 52 hafta veya 12 eşit ay bulunduğu kabul edilecektir.
3 - Hesaplamanın sonucu, küsuratlı sayılarda en azından bir ondalık basamak yürütülecektir. Belli bir ondalık basamağın yuvarlanmasında, ondalık basamağı izleyen rakam beşe eşit veya beşten büyükse, bu ondalık basamaktaki sayı bire eşitlenecektir.